| Предыдущая тема :: Следующая тема |
| Автор |
Сообщение |
Dimm Посетитель
Зарегистрирован: 09.07.2005 Сообщения: 57 Откуда: Калиниград
|
Добавлено: Чт 04 Авг 2005 г. 18:13:44 Заголовок сообщения: Полировка пера для мягкости письма |
|
|
Полировка пера.
В результате некоторых поисков я выяснил трепетное отношение Waterman к перьям. Оказывается, они все без исключения перья проверяют на гладкость по бумаге. И дополировывают в случае чего наконечник пера. А я думаю чего это именно Waterman мне больше всего приятен в написании.
Как известно в золотых перьях на кончике впаян родиевый шарик. Точнее это сплав родия и платины или никеля с примесями серебра и прочее. Главная особенность этого сплава очень высокая износостойкость и одновременно низкий коэффициент трения. Другими словами очень мягко скользит по бумаге при этом долговечен, не истираеться.
При изготовлении недорогих ручек по недосмотру производителя, к Waterman не относиться, могут остаться острые кромки ил заусенцы на шарике. Ощущаеться это очень просто. при письме двигая ручку в разных направлениях можно почувствовать как ручка «царапат» или просто не очень гладко идёт по бумаге. Что делать?
В случае если вы не очень довольны гладкостью вашего пера можно его отполировать самостоятельно. Для этого нужны специальные полировальные бумаги (crocus or emery paper). Разуметься я их не нашёл Точнее нашёл в каталога знаменитой фирмы 3M, от этого бумага не стала мне доступнее.
Тут мне очень помог специалист по перьям Mr. Ludwig Tan из Кембриджа. Он подсказал простой и эффективный способ полировки. Mr. Ludwig Tan рекомендует использовать простое стекло: «…да, это возможно, полировать перо без специальной полировальной бумаги - Вы можете использовать кусок стекла (любой кусок, например настольный, или что - нибудь еще с стеклянная поверхность). Будет необходимо немного дольше поработать, и Вы, возможно, будьте должен применить больше давления, но это способ также эффективен, как и применение специальной полировальной бумаги…»
Я взял не нужное мне небольшое настольное зеркало. Обернул ручку упаковкой от шоколадок M n M’s, с пером вместе, торчал только сам шарик, чтобы не испачкаться. Прижал перо к стеклу указательным пальцем, не так как мы пишем обычно, а просто положил палец поверху пера почти касаясь стекла. И произвёл полировку в течение примерно 10 минут, периодически проверяя результат на бумаге. В основном движениями из стороны в сторону как обычно производиться штриховка только шире. Угол наклона ручки я постоянно менял. Стараясь как бы «затупить» шарик на конце.
Несколько советов. Палец поверху пера, для того чтобы не сломать. Давление посильнее, чем пишешь. Очень внимательно. Держите перо подальше от краёв, а лучше по центру, чтобы не пораниться и не поцарапать ручку о край стекла. Речь идёт о стандартных перьях размеров fine и medium, без скоса и НЕ курсивных перьях. Для полировки таких перьев нужен опыт и навык. Не рекомендую курсивные перья и перья со скосом полировать самостоятельно!
Результат меня впечатлил. перо стало неподражаемым, само бегает по бумаге, действительно. Очень мягкое и лёгкое. Не знаю как передать ощущения, попробую в сравнении, перо стало скользить лучше чем хорошая шариковая ручка. Я очень доволен.
.
|
|
| Вернуться к началу |
|
 |
Dimm Посетитель
Зарегистрирован: 09.07.2005 Сообщения: 57 Откуда: Калиниград
|
Добавлено: Сб 13 Авг 2005 г. 21:49:34 Заголовок сообщения: |
|
|
Согласен. В классическом варианте, когда пользуешься полировальной бумагой рекомендуют выписывать восьмёрки 888.
Кстати я нашёл бумагу. С доставкой будет $$16-20.
Разуметься такая бумага есть и в России. Только где?
|
|
| Вернуться к началу |
|
 |
letyanin Завсегдатай

Зарегистрирован: 01.10.2004 Сообщения: 1014 Откуда: Санкт-Петербург (Петергоф)
|
Добавлено: Вт 16 Авг 2005 г. 08:24:07 Заголовок сообщения: |
|
|
Вообще, с полировкой перьев у меня всегда возникают проблемы-очень трудно "настроить" перо под себя. Рад, что кого-то кроме меня еще интересует эта тема.
Последний раз редактировалось: letyanin (Ср 02 Дек 2009 г. 12:13:24), всего редактировалось 1 раз |
|
| Вернуться к началу |
|
 |
Dimm Посетитель
Зарегистрирован: 09.07.2005 Сообщения: 57 Откуда: Калиниград
|
Добавлено: Вт 16 Авг 2005 г. 11:08:49 Заголовок сообщения: |
|
|
| letyanin писал(а): | Здравствуйте Dimm!
Конечно, специальной бумагой перо полировать много легче.
Так что, если будете ее заказывать, то был бы благодарен, если бы Вы заказали и на меня. | Я попытаюсь найти такую бумагу в России. Бумага же не специальная для перьев, это очень мелкая корундовая наждачка с размером зерна 1 микрометр и 0,1 микрометр для финальной полировки.
Может её ювелиры используют? Буду искать тут.
| letyanin писал(а): | | Вообще, с полировкой перьев у меня всегда возникают проблемы-очень трудно "настроить" перо под себя. Рад, что кого-то кроме меня еще интересует эта тема. | Какое перо по вашему мнению пишет наиболее мягко и комфортно? После долгих поисков и общения с зарубежными коллекционерами я пришёл к мнению - это Pelikan Souverän
|
|
| Вернуться к началу |
|
 |
Dimm Посетитель
Зарегистрирован: 09.07.2005 Сообщения: 57 Откуда: Калиниград
|
Добавлено: Вт 16 Авг 2005 г. 18:39:47 Заголовок сообщения: |
|
|
Это всеобщая тенденция. Все производители с 70-х годов перешли на более жёсткие перья. Это связанно с переходом на шариковую ручку как основной инструмент и привычкой писать с бόльшим нажимом.
Parker 51 и Hero 100 у меня вызывает мало интереса из за закрытого пера. Я считаю это не красивым. Parker 51 - "рабочая лошадь" с хорошими отзывами.
Последний раз редактировалось: Dimm (Сб 20 Авг 2005 г. 11:07:43), всего редактировалось 2 раз(а) |
|
| Вернуться к началу |
|
 |
Демьян Посетитель
Зарегистрирован: 06.08.2005 Сообщения: 63 Откуда: Москва
|
Добавлено: Пн 22 Авг 2005 г. 14:35:13 Заголовок сообщения: |
|
|
Погнутое перо тоже скребет бумагу . И чернила хуже сосет. Так что перед тем как шлифовать, желательно изучить кончик через увеличительное стекло. Твердосплавный шарик вы конечно же подточите, а потом выяснится, что перо все равно нужно выправлять... Один погнутый паркер я шлифовкой в свое время попортил
|
|
| Вернуться к началу |
|
 |
Dimm Посетитель
Зарегистрирован: 09.07.2005 Сообщения: 57 Откуда: Калиниград
|
Добавлено: Пн 22 Авг 2005 г. 15:10:36 Заголовок сообщения: |
|
|
| Согласен. С полировкой тоже нужно быть осторожным, также можно погнуть перо если не осторожно.
|
|
| Вернуться к началу |
|
 |
Dimm Посетитель
Зарегистрирован: 09.07.2005 Сообщения: 57 Откуда: Калиниград
|
Добавлено: Пн 22 Авг 2005 г. 17:17:56 Заголовок сообщения: |
|
|
У меня зверское желание присоединить микроскоп х200 к цифровику.
Сделать два фото, до и после полировки.
|
|
| Вернуться к началу |
|
 |
Ральф Завсегдатай
Зарегистрирован: 03.02.2005 Сообщения: 484 Откуда: Москва
|
Добавлено: Вт 13 Сен 2005 г. 15:49:48 Заголовок сообщения: |
|
|
| Цитата: | У меня зверское желание присоединить микроскоп х200 к цифровику.
Сделать два фото, до и после полировки. |
Как успехи? Мы все ждем результат.
|
|
| Вернуться к началу |
|
 |
Dimm Посетитель
Зарегистрирован: 09.07.2005 Сообщения: 57 Откуда: Калиниград
|
Добавлено: Ср 14 Сен 2005 г. 09:42:46 Заголовок сообщения: |
|
|
А ни как, к сожалению. Покупать переходник на микроскоп мягко сажу не охота. Вот ищу подходящее оборудование. В университетах или у криминалистов.
Вот пара повреждённых "иридиевых" шариков с http://nibs.com
|
|
| Вернуться к началу |
|
 |
Sonor Завсегдатай

Зарегистрирован: 20.05.2006 Сообщения: 1825 Откуда: Екатеринбург
|
Добавлено: Вс 01 Апр 2007 г. 12:15:58 Заголовок сообщения: Re: Полировка пера для мягкости письма |
|
|
| Dimm писал(а): | Полировка пера.
... Речь идёт о стандартных перьях размеров fine и medium...
|
Возник вопрос, а таким способом можно уменьшить размер пера? Есть огромное желание, чтобы мое любимое перо писало немного тоньше. Буду признателен за ответ.
_________________
 |
|
| Вернуться к началу |
|
 |
pelican Постоянный посетитель

Зарегистрирован: 27.07.2009 Сообщения: 206
|
Добавлено: Пн 27 Июл 2009 г. 15:17:47 Заголовок сообщения: Re: Полировка пера для мягкости письма |
|
|
А чем плох способ полировки пера на жёсткой коже, находящейся на ровной твёрдой поверхности, с помощью пасты ГОИ или ювелирной алмазной пасты? По-моему, этим способом так же можно отполировать шарик на конце пера. Ведь, приммерно таким же образом(с помощью систематической и долгой полировки с порошковыми каменными и алмазными абразивами), шлифовались в своё время оптические линзы для первых микроскопов...
| Sonor писал(а): | | Dimm писал(а): | Полировка пера.
... Речь идёт о стандартных перьях размеров fine и medium...
|
Возник вопрос, а таким способом можно уменьшить размер пера? Есть огромное желание, чтобы мое любимое перо писало немного тоньше. Буду признателен за ответ. |
Теоретически, размер штриха таким образом можно сузить. Но практически, работа настолько тонкая и трудоёмкая, что лично я бы рисковать не стал, и сначала, либо потренировался на не дорогих перьях бюджетных ручек, либо доверил бы это дело профессионалам.
Но есть люди, которые предпочитают сами заниматься правкой или доводкой своих любимых девайсов. И у некоторых из них, со временем, это даже может получаться на довольно приемлемом уровне..
Зная процесс тонкой полировки, и представляя себе объём и сложность выполнения работ с твердосплавными материалами, я бы предпочёл либо отдать профессионалу, или купить другое, уже подходящее под требования, перо (хоть это и будет стоить приличных денег).
Да, и ещё : считаю, что если взяться за дело самостоятельно и делать доводку пера последовательно, с соблюдением всех норм и применением правильных материалов и инструментов, то даже если и не удастся сделать росчерк штриха ощутимее тоньше, то определённо перо станет скользить по бумаге лучше (если изначально в этом плане были какие-то недочёты).
|
|
| Вернуться к началу |
|
 |
Dima Постоянный посетитель

Зарегистрирован: 05.02.2008 Сообщения: 329 Откуда: Весенний Курган
|
|
| Вернуться к началу |
|
 |
максС Постоянный посетитель
Зарегистрирован: 23.11.2008 Сообщения: 344 Откуда: Москва
|
Добавлено: Сб 15 Авг 2009 г. 08:04:28 Заголовок сообщения: |
|
|
Интересно...
Я слышал про использование стекла, но мне этот метод казался непригодным из-за почти абсолютной твердости поверхности стекла.
То есть, я всегда считал, что смысл специальной полировочной бумаги не только в подобранном абразиве, но и в некоторой ээ... глубине погружения пера (просто за неимением лучшего термина) в эту бумагу.
Это дает эффект микро-закруления кромок обрабатываемой поверхности наконечника.
На стекле такого же эффекта можно достичь только изменяя угол ручки вручную (как вы и делали, насколько я понял), но это, мне кажется, сложнее. Риск ошибки выше.
Вообще, тема полировки обсуждалась довольно активно...
Я писал там где-то писал, с этой задачей великолепно справляются обычные пилочки для ногтей - на мягкой основе, с максимально тонким абразивом.
UPD А, вот Dima как раз дал ссылку на это обсуждение.
|
|
| Вернуться к началу |
|
 |
Sergiy Завсегдатай
Зарегистрирован: 08.05.2008 Сообщения: 601 Откуда: Мексика
|
Добавлено: Сб 15 Авг 2009 г. 19:36:25 Заголовок сообщения: |
|
|
| максС писал(а): |
Вообще, тема полировки обсуждалась довольно активно...
Я писал там где-то писал, с этой задачей великолепно справляются обычные пилочки для ногтей - на мягкой основе, с максимально тонким абразивом. |
Они точнее называются пилочки для полировки ногтей
Чтобы кто-то не вздумал использовать обычные пилочки (алмазную, стеклянную).
_________________ Использую: Parker: Duofold Check Olive Int./Marble Blue Сentennial, Classic BP.
Владею: Parker: Duofold Check Olive (перо+шарик), Sonnet Cisele, 51, 45. Lamy Studio SS. |
|
| Вернуться к началу |
|
 |
максС Постоянный посетитель
Зарегистрирован: 23.11.2008 Сообщения: 344 Откуда: Москва
|
Добавлено: Сб 15 Авг 2009 г. 20:15:15 Заголовок сообщения: |
|
|
| А, ну да. Это которые для полировки.
|
|
| Вернуться к началу |
|
 |
Dima Постоянный посетитель

Зарегистрирован: 05.02.2008 Сообщения: 329 Откуда: Весенний Курган
|
|
| Вернуться к началу |
|
 |
Doost Завсегдатай

Зарегистрирован: 11.02.2011 Сообщения: 1625 Откуда: Москва
|
Добавлено: Сб 14 Янв 2012 г. 17:06:48 Заголовок сообщения: |
|
|
наткнулся сегодня магазин для ювелиров, там есть пасты алмазные для полировки, мелкая наждачка ну и все сопутствующее. Купить можно в москве
Но! Не могу понять что конкретно мне надо (для полировки пера, оф кос)
небезызвестный Ричард Бинер продает у себя на сайте набор для полировки:
| Цитата: | The Basic Kit includes two 0.003" (0.08 mm) Mylar sheets approximately 6"×9" (150 mm×225 mm) in size. The colored sheet has 1.0-micron aluminum oxide abrasive, and the white sheet has 0.3 micron. Also included is a piece of 0.002" (0.05 mm) sheet brass about 1" (25 mm) square, for flossing nib slits and the ink fissures in feeds. We use these materials together with our Micro-Mesh buff sticks.
Our buff sticks have three grit sizes: the pink part is 2400 grit, the white part is 4000 grit, and the gray side is 12,000 grit.
|
с Микронами все понятно, а вот 12000 грит - это какой размер частицы в микронах?
кстати, на сайте vintagepens.com написано следующее
| Цитата: | These 5-inch nib smoothing disks aren't cheap, but they are the best! The industrial diamond coating resists being scraped off the extra-tough mylar backing -- one can even run the edges of these disks between a nib's tines to smooth the inside edges of the tipping material. Can be used wet or dry, will outlast other polishing media many times over -- one disk should easily be good for smoothing dozens of nibs.
Available with particle size of either 0.1 micron (ultrafine, for smoothest finish work; dark green) or 1.5 micron (very fine, offers faster deburring; light green), at $12 per disk. |
понятно, что мне потребуются прасты (или листы шлифовачной бумаги) с размером частицы вплоть до 0.1 микрона
что-то конкретное посоветуете?
PS самая мелкая паста ГОИ #1 - это размер части от 1 до 7ми микрон, что все-таки крупновато =)
|
|
| Вернуться к началу |
|
 |
IgorG Завсегдатай
Зарегистрирован: 19.01.2011 Сообщения: 645 Откуда: Москва
|
Добавлено: Сб 14 Янв 2012 г. 22:30:17 Заголовок сообщения: |
|
|
| Doost писал(а): |
с Микронами все понятно, а вот 12000 грит - это какой размер частицы
|
полмикрона
|
|
| Вернуться к началу |
|
 |
Doost Завсегдатай

Зарегистрирован: 11.02.2011 Сообщения: 1625 Откуда: Москва
|
Добавлено: Сб 14 Янв 2012 г. 22:34:32 Заголовок сообщения: |
|
|
| IgorG писал(а): | | Doost писал(а): |
с Микронами все понятно, а вот 12000 грит - это какой размер частицы
|
полмикрона |
спасибо
а можете рассказать формулу перевода?
|
|
| Вернуться к началу |
|
 |
IgorG Завсегдатай
Зарегистрирован: 19.01.2011 Сообщения: 645 Откуда: Москва
|
Добавлено: Вс 15 Янв 2012 г. 09:35:27 Заголовок сообщения: |
|
|
| Doost писал(а): | | IgorG писал(а): | | Doost писал(а): |
с Микронами все понятно, а вот 12000 грит - это какой размер частицы
|
полмикрона |
спасибо
а можете рассказать формулу перевода? |
Может какая-то формула и есть, но я ее не знаю
|
|
| Вернуться к началу |
|
 |
ЮрийЮВ Завсегдатай

Зарегистрирован: 11.01.2012 Сообщения: 10377 Откуда: 48.059891\\\\39.943151 или 42.996825\\\41.054406
|
Добавлено: Вс 29 Янв 2012 г. 18:09:22 Заголовок сообщения: |
|
|
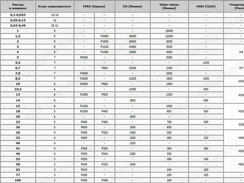
В этой таблице в графе Water stones (Япония)-гриты, а где микроны-видно и так.
То есть 12000 грит-не полмикрона,а сами видите,сколько: 1,2
Таблица грит_hf.jpg [68.02 KB | Просмотрено: 1716 раз(а)]
_________________ jurijv@yandex.ruWhatsApp
Я в России,+79526015656
в Абхазии,+79407104196 Излагаемое мною является моим частным мнением
Последний раз редактировалось: ЮрийЮВ (Вс 29 Янв 2012 г. 18:31:14), всего редактировалось 1 раз |
|
| Вернуться к началу |
|
 |
ЮрийЮВ Завсегдатай

Зарегистрирован: 11.01.2012 Сообщения: 10377 Откуда: 48.059891\\\\39.943151 или 42.996825\\\41.054406
|
Добавлено: Вс 29 Янв 2012 г. 18:29:09 Заголовок сообщения: |
|
|
Вот ещё, для полировки.Я в своё время накупил в Луганске.Лежит,кушать не просит,иногда пригождается.
алмазные пасты_hf.jpg [69.81 KB | Просмотрено: 1811 раз(а)]
_________________ jurijv@yandex.ruWhatsApp
Я в России,+79526015656
в Абхазии,+79407104196 Излагаемое мною является моим частным мнением |
|
| Вернуться к началу |
|
 |
IgorG Завсегдатай
Зарегистрирован: 19.01.2011 Сообщения: 645 Откуда: Москва
|
Добавлено: Пн 30 Янв 2012 г. 05:49:33 Заголовок сообщения: |
|
|
| ЮрийЮВ писал(а): | В этой таблице в графе Water stones (Япония)-гриты, а где микроны-видно и так.
То есть 12000 грит-не полмикрона,а сами видите,сколько: 1,2 |
Уважаемый ЮрийЮВ, на самом деле не все так просто. Часто производители используют свои собственные гриты. Так, гриты из графы Water stones (Япония) немного отличаются от тех, что использует, в частности, Micro-Surface Finishing Products, Inc., производящая палочки для полировки, о которых спрашивал коллега Doost.
Убедитесь сами (см. прикрепленную таблицу). К сожалению, размер в микронах для 12000 грит сама Micro-Surface не указывает, но в нескольких источниках я встречал для нее цифру 2 микрона. Так что признаю, по поводу полмикрона - поторопился. Это, очевидно, для абразива другого производителя.
MM_Conversion.png [43.12 KB | Просмотрено: 1482 раз(а)]
|
|
| Вернуться к началу |
|
 |
ЮрийЮВ Завсегдатай

Зарегистрирован: 11.01.2012 Сообщения: 10377 Откуда: 48.059891\\\\39.943151 или 42.996825\\\41.054406
|
Добавлено: Пн 30 Янв 2012 г. 07:47:35 Заголовок сообщения: |
|
|
2 IgorG:
Я Вашу табличку скачал, и в ту же кучечку сложил...Тоже не просит кушать.А вишь как порой пригождается!
С пояснением согласен,действительно в мире шлифовки-полировки ой как всё не просто...
_________________ jurijv@yandex.ruWhatsApp
Я в России,+79526015656
в Абхазии,+79407104196 Излагаемое мною является моим частным мнением |
|
| Вернуться к началу |
|
 |
Doost Завсегдатай

Зарегистрирован: 11.02.2011 Сообщения: 1625 Откуда: Москва
|
Добавлено: Вт 31 Янв 2012 г. 11:20:09 Заголовок сообщения: |
|
|
| ЮрийЮВ писал(а): | | Вот ещё, для полировки.Я в своё время накупил в Луганске.Лежит,кушать не просит,иногда пригождается. |
кстати! а как их (пасты алмазные) лучше в отношении перьев использовать? на мягкую тряпочку, войлок, гладкую кожу? или может вообще на стекло или бумагу обычную?
За таблички спасибо =)
|
|
| Вернуться к началу |
|
 |
ЮрийЮВ Завсегдатай

Зарегистрирован: 11.01.2012 Сообщения: 10377 Откуда: 48.059891\\\\39.943151 или 42.996825\\\41.054406
|
Добавлено: Вт 31 Янв 2012 г. 18:55:08 Заголовок сообщения: |
|
|
На здоровье! На то и форум,чтоб друг другу помогать.
Для каждого шлифовального состава существуют свои т.н. притиры-т.е. поверхности,на которую наносится шлифсостав. Это может быть шерст. и х\б ткань,кожа\замша,дерево,чугун, и т.д. Какой нужен притир - зависит и от шлифуемого материала. Чугунную доску для шлифовки пластика-очевидно, глупо. Вот, для примера, матовое стекло для шлифовки иридиевого шарика на пере-оно и шлиф само по себе,и притир,если наносите на неё пасту. Один и тот же притир для паст\порошков разной градации применять нежелательно, надеюсь, понятно,почему.
Если надо внешнюю поверхность пера шлифовать (ту,которую мы видим,когда пишем),то я это делаю под микроскопом МБС-9 (рекомендую всем, особенно у кого дети младшего и среднего шк.возраста).На нём выбирается увеличение переключением объективов и заменой окуляров. В Дремель(бормашинку) вставляется деревянная зубочистка, вращающийся притир (зубочистку) натираем составом (от грубого к тонкому,меняя зубочиски для каждого состава) и шлифуем->полируем. Для финишной полировки можно зубочистку обмотать в один слой (по ходу вращения!) х\б ниткой,и на неё уже полирсостав.
Блестючих Вам результатов!
_________________ jurijv@yandex.ruWhatsApp
Я в России,+79526015656
в Абхазии,+79407104196 Излагаемое мною является моим частным мнением |
|
| Вернуться к началу |
|
 |
TriVX Завсегдатай
Зарегистрирован: 25.12.2009 Сообщения: 2196 Откуда: г. Харьков Украина
|
Добавлено: Пт 03 Фев 2012 г. 14:26:25 Заголовок сообщения: |
|
|
Ну, вставлю пять копеек.
Стекло - это в основе своей оксид кремния (песок). Самый распространенный абразивный материал.
Классическая "наждачка" - это уже нечто наподобии граната (наждачный порошок). Ну и так далее. Т.е. даже обычное стекло имеет пусть и низкую, но абразивность. Стекло хорошо тем, что сложно при неосторожном движении привести перо в негодность.
Относительно грит и микронов. Сравнивайте эти две характеристики очень осторожно. Если приближенно: микроны показывают размер зерна, а гриты количество пор/выступов на ед. площади. В случае с пастами более понятны и адекватны микроны, а в случае с точильными камнями, таки, грит-ы (частицы в ряде случаев могут проникать друг в друга, а некоторые абразивные материалы наподобие керамики вообще не иметь как таковых абразивных частиц).
Я бы не советовал алмазную пасту, абразив этот "злой" и требует навыка,хоть и чемпион по производительности, в ряде случаев лучше и доступнее пасты "ГОИ" или "Крокус" (или масса паст вроде эльбора) они помягче в работе при зерне аналогичного размера.
Из практики: сейчас сложно купить качественную пасту ГОИ особенно самых мелких номеров (часто продавцы сами в осадок выпадают, когда узнают, что она еще и разной по зернистости бывает).
Ну и банально интересно, действительно, из чего сейчас делают "напайки"?
_________________ Теоретически, теория и практика - одно и тоже, но на практике - это совсем разные вещи
Последний раз редактировалось: TriVX (Пт 03 Фев 2012 г. 15:29:34), всего редактировалось 1 раз |
|
| Вернуться к началу |
|
 |
ЮрийЮВ Завсегдатай

Зарегистрирован: 11.01.2012 Сообщения: 10377 Откуда: 48.059891\\\\39.943151 или 42.996825\\\41.054406
|
Добавлено: Пт 03 Фев 2012 г. 15:09:03 Заголовок сообщения: |
|
|
[quote="TriVX"] >>>часто продавцы сами в осадок выпадают, когда узнают, что она еще и разной по зернистости бывает>>>
Продавцы тоже не всякие полезны У нас в Ростове подобными вещами торгуют на рынках в основном бывшие рабочие с ГПЗ-10, Ростсельмаша,Красного Аксая, то есть люди,не один десяток собак съевшие по этой теме. В ГПЗ даже свои шлифсоставы делали,говорят...
В остальном всё написанное бесспорно.
_________________ jurijv@yandex.ruWhatsApp
Я в России,+79526015656
в Абхазии,+79407104196 Излагаемое мною является моим частным мнением |
|
| Вернуться к началу |
|
 |
TriVX Завсегдатай
Зарегистрирован: 25.12.2009 Сообщения: 2196 Откуда: г. Харьков Украина
|
Добавлено: Пт 03 Фев 2012 г. 15:26:30 Заголовок сообщения: |
|
|
| ЮрийЮВ писал(а): |
Продавцы тоже не всякие полезны У нас в Ростове подобными вещами торгуют на рынках в основном бывшие рабочие с ГПЗ-10, Ростсельмаша,Красного Аксая, то есть люди,не один десяток собак съевшие по этой теме. В ГПЗ даже свои шлифсоставы делали,говорят... |
Просто и в технической сфере есть свои э-э-э разводилы.
А на счет шлифсоставов... эх... помню было время! Отмучивал порошки, подбирал основу для паст, смазку увлажнитель для камней (в том числе СОЖ).
_________________ Теоретически, теория и практика - одно и тоже, но на практике - это совсем разные вещи |
|
| Вернуться к началу |
|
 |
|